next up previous contents
Next: The degree of the Up: The theory of permutations Previous: The theory of permutations

The symmetric polynomials

Albert Girard (1590-1633), a flemish mathematician, published in 1629, in Amsterdam, a book called Invention nouvelle en l'algèbre, in which clear relations between roots and coefficients of polynomials were stated for the first time. Let tex2html_wrap_inline258 where tex2html_wrap_inline260. Girard had the brilliant idea of postulating that such a polynomial had to have n roots; whenever a polynomial had less than n real roots, one could extend the set of the roots to have order n by adjoining complex rootsgif. Under these conditions, one could write tex2html_wrap_inline266 where tex2html_wrap_inline268 is the tex2html_wrap_inline270 root. Hence the derivative is given by tex2html_wrap_inline272
displaymath274
hence
displaymath276
Notice that for each tex2html_wrap_inline278 we have
displaymath280
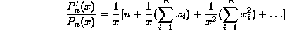
Now, provided tex2html_wrap_inline282, we have
displaymath284

displaymath286
Now let tex2html_wrap_inline288. This means
displaymath290
which gives infinite relations between coefficients and roots. Take for example tex2html_wrap_inline292
displaymath294

displaymath296
Although it is possible to derive infinitely many such relations, to isolate one single root one needs at least a difference between some powers of the roots. In the case of the quadratic tex2html_wrap_inline298 we have
displaymath300
hence we can isolate the roots and solve the equation.



Leo Liberti
Thu Feb 26 17:04:11 CET 1998